|

|
|
Desde el momento que cerramos el circuito eléctrico del. capacitor accionando el interruptor que se muestra a la. derecha de este esquema, la corriente comienza a fluir de. forma instantánea. En fracciones de segundo, la placa. izquierda conectada al polo positivo (+) de la batería, cede. electrones y adquiere carga positiva, mientras que la placa. derecha, conectada al polo negativo (), capta esos. electrones
y adquiere carga negativa. Durante este. proceso de carga la placa izquierda,
que ha cedido parte. de sus electrones a la placa derecha, tratará de captar de. nuevo los electrones perdidos
atrayéndolos por inducción. del dieléctrico que separa ambas placas, con el fin de. restablecer el equilibrio electrónico perdido. Sin. embargo, cualquier
dieléctrico, al constituir un material.
|
aislante, mantiene siempre sus electrones fuertemente unidos al núcleo de sus átomos y no puede. cederlos a la placa positiva. Por esa razón, una vez que el capacitor queda completamente cargado, el. flujo de corriente por el circuito se detiene de inmediato, pues bajo esas condiciones los electrones se. ven imposibilitados de continuar su recorrido al no poder vencer la resistencia que ofrece a su paso el.
propio dieléctrico. |
|
Cuando cerramos el interruptor del circuito formado por el capacitor y la batería, la corriente eléctrica comienza a fluir a partir del polo negativo () de la batería. Simultáneamente, para que eso ocurra, la placa izquierda (como se puede ver en la ilustración) cede electrones a la otra placa y se convierte en positiva (+) debido al exceso de protones con carga de ese mismo signo que le quedan, superando a los electrones con carga de signo negativo (), que ha perdido, desestabilizando así su equilibrio electrónico.
Los electrones que ha cedido la placa izquierda, ahora positiva (+), pasan a la placa derecha que se convierte, a su vez, en negativa () por tener ahora electrones en exceso con ese signo, desde el mismo momento que la corriente ha comenzado a circular por el circuito externo. En resumen, al finalizar el proceso de carga
de energía eléctrica del capacitor del ejemplo, la placa izquierda queda cargada positivamente y la derecha negativamente; además, ambas pierden su equilibrio electrónico.
Para que la corriente eléctrica circule por el circuito externo del
capacitor, es necesario que los electrones que parten del polo negativo de la batería puedan regresar a su polo positivo; sin embargo, en un circuito compuesto por
capacitores, una vez que los electrones alcanzan una de las dos placas, el material
aislante en función de dieléctrico que encuentran en su recorrido y que separa a ambas, impide que puedan continuar circulando. Por tanto, cuando las placas adquieren sus respectivas cargas completas de signo contrario, el capacitor queda cargado con una
tensión o voltaje equivalente al de la batería donde se encuentra conectado y la circulación de corriente eléctrica por el circuito se interrumpe.
Bajo esas circunstancias y mientras el capacitor se mantenga conectado a la batería, la placa positiva tratará de arrancar los electrones que ha perdido del dieléctrico para restablecer su equilibrio electrónico, mientras que la placa cargada negativamente, los repelerá.
Debido a que el dieléctrico que separa las placas de un capacitor constituye un material aislante, ya sea aire, mica, cerámica, papel o cualquier otro elemento que cumpla con esas características, los electrones pertenecientes a sus
átomos se encuentran fuertemente atraídos por sus propios núcleos, por lo que resulta prácticamente imposible que el material empleado como dieléctrico pueda ceder sus electrones a la placa positiva. Por ese motivo en cuanto se acciona el interruptor para cerrar el circuito eléctrico, el capacitor comienza a cargarse de inmediato, pero en pocos segundos el flujo de corriente se interrumpe al adquirir su carga completa. La circulación de corriente que surge a partir que el capacitor comienza a adquirir carga eléctrica hasta el mismo momento en que está completamente cargado, lo puede registrar la aguja de un miliamperímetro analógico conectado en el propio circuito.
Durante el proceso de carga de energía eléctrica del capacitor ningún electrón se añade o se
pierde de las placas. Lo único que ocurre es que una de estas cede sus
electrones a la otra, como si de un préstamo se tratara. En consecuencia se crea un desbalance
en la cantidad de electrones existentes en total, que será mayor en una y menor
en la otra, pero sin dejar de existir en total la misma cantidad distribuidos
desigualmente en ambas placas, cuando el capacitor se encuentra completamente
cargado. Cuando éste se descarga, los electrones cedidos regresan a su placa
original restableciéndose de nuevo el equilibrio atómico perdido en cada una. |
En esta otra ilustración muestra el mismo circuito anterior. del
capacitor, pero con la conexión de la batería invertida, por lo que la placa izquierda adquiere ahora carga negativa () y la placa derecha, carga positiva (+).
|
|
 |
|
Si empleamos de nuevo el mismo esquema de circuito del ejemplo anterior, pero cambiando la posición de la batería para invertir su polaridad, se repite el mismo proceso de carga pero de forma inversa, ya que ahora la placa izquierda se cargará negativamente, mientras la derecha se cargará positivamente.
En ambos ejemplos anteriores, e independientemente de cómo se encuentre colocada la batería en el circuito, la circulación de corriente eléctrica se detiene en cuanto el
capacitor se encuentra completamente cargado. Si a continuación desconectamos la batería del circuito, las cargas eléctricas quedarán condensadas o retenidas con signos diferentes en ambas placas del capacitor por un período muy corto de tiempo, ya que a partir de ese momento comenzará a efectuarse un proceso denominado de autodescarga si no se emplea de inmediato.
En resumen, en las ilustraciones anteriores se ha podido observar que un capacitor adquiere su carga completa de energía eléctrica de forma casi instantánea cuando se conecta a una fuente suministradora de
fuerza electromotriz (F.E.M.), como una batería, para cargarlo. Una vez que el capacitor comienza a adquirir carga eléctrica, el dieléctrico aislante situado entre las dos placas opone una alta resistencia a la circulación de la corriente, impidiendo así que los electrones alcancen el otro polo de la batería para completar el circuito.
A medida que el capacitor incrementa su carga eléctrica, se produce una fuerza contraelectromotriz, denominada reactancia capacitiva, que al final del proceso ofrece también una alta resistencia al flujo o circulación de la corriente eléctrica por el circuito. En el momento que esa reactancia o resistencia alcanza su valor más alto, el capacitor se encontrará completamente cargado y la corriente dejará de circular.
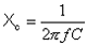
La reactancia capacitiva Xc de un capacitor se puede calcular por medio de la siguiente fórmula matemática: |
|
 |
|
De donde:
Xc .- Reactancia capacitiva en ohm ( )
.- Constante pi = 3,1416
f .- Frecuencia de la corriente en
hertz (Hz)
C .- Capacitancia del capacitor en farad (F).
|
Carga del capacitor
En la siguiente figura se puede ver que cuando se cierra el interruptor la corriente (representada por las flechas) comienza a circular por el circuito y la lámpara conectada al mismo se enciende con toda su intensidad, pero a medida que el capacitor se carga con la energía eléctrica que le aporta la batería, la lamparita reduce paulatinamente su intensidad lumínica hasta que se apaga completamente cuando el capacitor alcanza su carga máxima, momento en que también la corriente deja de circular.
|
|
 |
|
|
En (A) de esta ilustración se muestra un circuito en el que no existe circulación de corriente, compuesto por una batería B, un capacitor descargado
Cd, un interruptor abierto y una lámpara apagada,. En (B) el interruptor está cerrado, por lo que la corriente (representada por las flechas) puede circular por el circuito, el capacitor comienza a cargarse y la lámpara se enciende completamente. En (C) continúa la carga del
capacitor, pero la lámpara comienza a perder. brillantez debido a la disminución de circulación de corriente por el circuito dada la resistencia que ofrece el dieléctrico al paso de ésta desde una placa a la otra.
En (D) las dos placas del. capacitor se encuentran ya completamente cargadas, por lo cual la corriente deja de circular. Bajo esas circunstancias la lámpara, al no recibir corriente eléctrica, se apaga.
|
|
|
Cuando un capacitor se encuentra completamente cargado, si lo desconectamos del circuito mantiene toda su carga de energía eléctrica durante un corto período de tiempo, que será mayor o menor en dependencia de su capacidad en farad o sus submúltiplos (microfarad, nanofarad). Además, una vez que el capacitor se desconecta de la fuente de FEM, comienza de inmediato un proceso de autodescarga de la energía acumulada si no se emplea para realizar algún trabajo útil conectado en un circuito eléctrico o electrónico.
En un capacitor cargado se crea una diferencia de potencial entre sus dos placas, representadas por un campo de fuerza eléctrica en sus superficies metálicas, creado por dos cargas diferentes: una positiva (+) en una y otra negativa () en la otra. Esa diferencia de potencial induce en el dieléctrico un campo electrostático, cuya misión es retener momentáneamente la carga eléctrica almacenada en el capacitor desde el mismo momento que lo desconectamos de la fuente suministradora de energía eléctrica. |
|